氮(N)是植物初级生产力和森林碳固存能力的关键限制性营养元素,全球变暖预测将通过气态途径加速森林生态系统N损失,从而降低N可利用性。森林土壤气态氮排放主要包括一氧化氮(NO)、氧化亚氮(N2O)和氮气(N2...2026-01-08
增强岩石风化(Enhanced Rock Weathering)是近年来提出的一种通过施用硅酸盐矿物粉末(如硅灰石)来捕获大气CO₂的重要途径。此外,硅酸盐矿物的添加还能通过改善土壤理化性质和微生物活性,促进土壤有机碳(SOC...2025-11-03
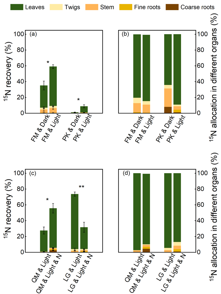
大气中的二氧化氮(NO2)以干沉降形式进入森林生态系统时,可被冠层叶片直接吸收。在氮限制的生态系统中,冠层对NO2的吸收可能会成为植物重要的氮来源之一,进而影响森林生态系统的氮循环以及碳固存。然而,目前...2025-09-19
土壤反硝化作用是陆地生态系统中活性氮流失的主要过程之一,不仅降低植物氮素利用效率,还促进温室气体氧化亚氮(N2O)排放,成为亟需调控的重要土壤氮循环过程。长期以来,研究者都认为植物根系分泌的代谢物作为...2025-07-11
甲烷(CH4)是全球第二大温室气体,其百年尺度的增温潜势是二氧化碳的28到34倍。森林土壤是大气甲烷最重要的生物汇,贡献超过60%的土壤CH4汇功能。然而,传统手动静态箱法受限于每周或每月一次的采样频率,难捕捉...2025-06-23
农作物秸秆还田是一种常见的农田管理措施,在维持和增加土壤有机碳含量、提高农田土壤肥力和功能方面具有重要意义。同时,秸秆还田通过为微生物活动提供易于获得的碳、氮来源,以及改变土壤结构、气体扩散、土壤...2024-10-15
化石燃料燃烧、化肥使用等人类活动使得全球很多区域大气氮沉降量居高不下。随着大气减排政策的实施,我国一些区域氮沉降开始减少,但整体上仍处于比较高的水平。森林生态系统在碳汇中扮演着重要角色,因此有必要...2024-04-29
氮沉降是陆地生态系统中营养的重要来源,在保持土壤肥力、促进植物生长和调节生物多样性方面发挥着关键作用。然而,自工业革命以来,化石燃料燃烧、氮肥生产和使用及交通运输业的迅猛发展等人类活动造成了活性氮...2024-04-24