中国科学院沈阳应用生态研究所稳定同位素生态学研究团队首次建立了成年大树原位15N成对标记法,揭示了东北地区四个主要针叶树种(红松、云杉、樟子松和落叶松)成年大树氮吸收策略。研究发现这四个针叶树种均表现...2020-12-08
大气灰霾问题越来越受到人们的关注,不仅污染生态环境,而且严重威胁人类健康。硝酸盐是灰霾的主要组成成分,其前提物一氧化氮(NO)排放的不断增加,是加重灰霾问题的主要原因之一。NO不仅影响空气质量,还控制...2020-09-19
过去半个世纪以来,人类活动向大气释放的活性气态氮急剧增加,从而导致了陆地生态系统氮沉降也随之增加。绝大多数森林植物生产力受氮供应限制。因此,氮沉降一定程度上会促进森林树木生长,但长期过量的氮沉降则...2020-03-27
施氮是增加和维持农作物产量的重要农艺措施。但是,过量施氮不仅浪费资源,造成土壤退化,还会污染水体和大气。量化施入农田氮肥的去向和利用效率是农田氮肥管理的基础。受土壤类型、气候条件、田间管理等因素的...2020-03-17
工业革命后人类活动在不断改变全球大气环境和气候。目前,人类活动固定的活性氮(如NOx和NH3)已超过陆地和海洋生态系统自然氮固定的总和,大大改变了地球系统氮循环。因此,量化大气氮沉降历史变化、氮来源及其...2020-03-10
大气硝酸盐是大气氮氧化物的汇,可通过沉降的方式进入陆地和海洋生态系统并成为生态系统重要的氮来源。氮沉降量增加过度会产生一系列生态环境问题。目前研究表明,氮稳定同位素自然丰度技术是快速、及时解析不同...2020-01-03
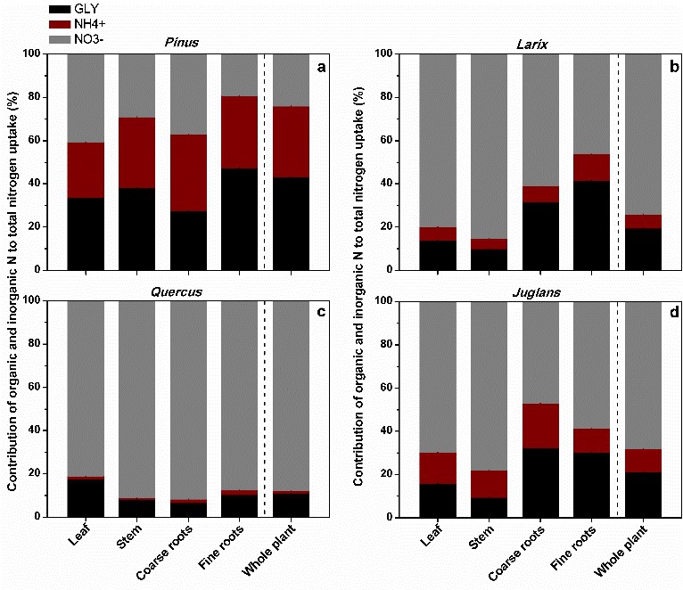
氮供应往往是限制森林生态系统生产力的重要因素。植物可利用土壤中的铵态氮(NH4+-N)、硝态氮(NO3--N)、某些自由氨基酸以及一些可溶性小分子有机含氮化合物,然而植物并非均等利用以上氮形态。总的来说,目前...2019-09-17
随着氮沉降全球化和我国氮沉降形势越来越严峻,准确量化沉降氮在植物和土壤中的滞留和分配是评估氮沉降对森林生态系统影响方向和程度的关键。15N标记手段不仅能准确量化沉降氮在不同生态系统组分中的滞留率,还可...2019-06-06