研究进展
  • 我室在不同生活型植物物种组成独特性的驱动机制方面取得进展

    研究生物多样性的分布格局是了解生物多样性空间分布现状、揭示多样性维持和变化机制的重要途径。作为生物多样性的重要组成部分,生态独特性(Ecological uniqueness)强调不同研究地点物种组成的特殊性,更高的独...2024-02-26

  • 我室揭示功能性状调节温带森林幼苗存活对气象因素的响应

    幼苗阶段是森林植物生活史最脆弱的时期,揭示幼苗动态及其影响因素对于理解森林发展规律、预测未来森林结构与组成具有重要意义。负密度制约效应(由于资源竞争、有害生物侵害(如病原微生物、食草动物捕食),同种...2023-12-21

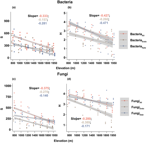
  • 我室在生物多样性海拔梯度格局方面取得进展

    研究生物多样性海拔梯度格局是了解生物多样性空间分布现状、揭示多样性维持和变化机制的重要途径。作为生物多样多样性的重要组成部分,叶际微生物(phyllosphere microbiome)参与宿主植物的病害抵御和养分吸收等...2023-11-09

  • 我室在凋落叶分解的主场效应驱动因素方面取得进展

    主场效应(Home-field advantage, HFA)是指凋落物在其生长的栖息地(主场)的分解效率要高于其他生境(客场)的现象。研究表明,主场效应对凋落叶分解的影响通常介于-9%至20%之间,甚至可以高达100%-200%,因此...2023-11-07