氮磷是植物生长的必需元素,二者的平衡关系(即氮磷比)不仅影响植物自身生长发育,还会通过营养级间的互作影响其他生物类群,进而改变生态系统结构与功能。植物体内氮磷平衡状况会因环境条件而发生改变。随着全...2025-10-09
细根是吸收水分和养分的主要器官,在植物获取资源的过程中具有重要作用。而草地生态系统是我国北方重要的绿色生态屏障,具有水土保持、调节气候、维持生物多样性等重要的生态功能。近年来,由于人类活动影响了大...2025-09-24
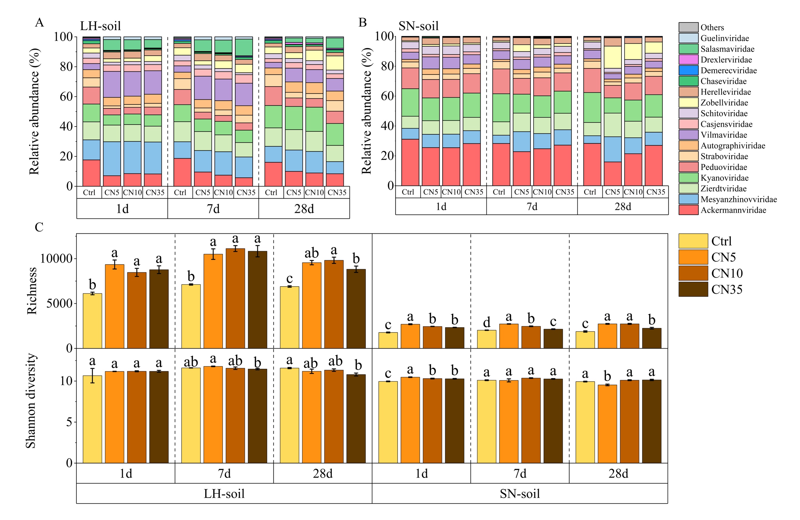
土壤是地球上最大的碳库之一,微生物群落通过分解有机质和形成微生物残体驱动着土壤有机碳(SOC)的积累与稳定。然而,作为土壤微生物群落的重要成员,病毒如何影响这一过程还未被深入认识。土壤中碳(C)与氮(N...2025-09-22
噬菌体(又称细菌病毒)是地球上数量最多的生物实体,它们通过感染微生物,在土壤和水体生态系统中扮演着至关重要的角色。尤其是溶原性噬菌体,它们能够以潜伏的方式“隐藏”在微生物基因组中,在适宜条件下被诱...2025-09-22
大气中的二氧化氮(NO2)以干沉降形式进入森林生态系统时,可被冠层叶片直接吸收。在氮限制的生态系统中,冠层对NO2的吸收可能会成为植物重要的氮来源之一,进而影响森林生态系统的氮循环以及碳固存。然而,目前...2025-09-18
自然环境下,森林内部的光环境是动态变化的,探究动态光对植物的影响也是当前林业研究的关键点。光作为植物进行光合作用的重要能量来源,同时也是植物生长和发育的重要调节因子,很大程度上决定了林下树种幼苗的...2025-09-18
根系是林木重要的功能器官,也是维持森林生产力与土壤肥力的重要驱动力。然而,长期以来,无论是林学基础研究还是林业可持续实践,其研究重点通常集中在树木的地上器官,而对根系的研究一直较为薄弱。细根的寿命...2025-09-17
增强岩石风化(Enhanced Rock Weathering)是近年来提出的一种通过施用硅酸盐矿物粉末(如硅灰石)来捕获大气CO₂的重要途径。此外,硅酸盐矿物的添加还能通过改善土壤理化性质和微生物活性,促进土壤有机碳(SOC...2025-09-12