研究成果
  • 我室在草原植物氮磷养分平衡研究方面取得进展

    氮磷是植物生长的必需元素,二者的平衡关系(即氮磷比)不仅影响植物自身生长发育,还会通过营养级间的互作影响其他生物类群,进而改变生态系统结构与功能。植物体内氮磷平衡状况会因环境条件而发生改变。随着全...2025-10-09

  • 我室在温带森林根系分泌物-微生物互作机制研究中取得新进展

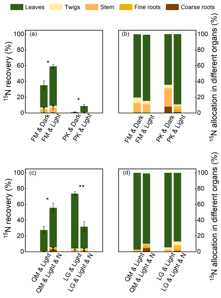
    自然环境下,森林内部的光环境是动态变化的,探究动态光对植物的影响也是当前林业研究的关键点。光作为植物进行光合作用的重要能量来源,同时也是植物生长和发育的重要调节因子,很大程度上决定了林下树种幼苗的...2025-09-18

  • 我室在森林乔木冠层吸收大气二氧化氮方面取得新进展

    大气中的二氧化氮(NO2)以干沉降形式进入森林生态系统时,可被冠层叶片直接吸收。在氮限制的生态系统中,冠层对NO2的吸收可能会成为植物重要的氮来源之一,进而影响森林生态系统的氮循环以及碳固存。然而,目前...2025-09-18

  • 我室在东北典型人工林细根寿命与物候研究中取得新进展

    根系是林木重要的功能器官,也是维持森林生产力与土壤肥力的重要驱动力。然而,长期以来,无论是林学基础研究还是林业可持续实践,其研究重点通常集中在树木的地上器官,而对根系的研究一直较为薄弱。细根的寿命...2025-09-17