沈阳生态所在量化森林土壤反硝化作用气态氮损失温度敏感性取得重要进展
沈阳生态所在量化森林土壤反硝化作用气态氮损失温度敏感性取得重要进展
土壤气态氮(如N2O和N2等)损失是陆地生态系统氮损失的重要途径,是导致陆地生态系统氮限制的重要机制。气态氮主要来自硝化作用和反硝化作用等土壤微生物过程。陆地生态系统是大气二氧化碳(CO2)重要的碳汇,在调节气候变化方面发挥着重要的作用。全球陆地生态系统每年吸收人为活动排放CO2的30%左右,但是其碳汇功能往往受到氮供应的限制。与1850-1900年相比,全球地表温度目前已升高1.1°C左右。IPCC第六次评估报告预测在本世纪末(2081-2100年)升温幅度将很有可能达到1.8 ~ 5.7°C。已有大量野外和室内培养的研究表明,全球变暖加快土壤有机质分解、土壤矿化和硝化作用。据此推论全球变暖很可能会增加土壤气态氮的损失,从而使陆地生态系统更加缺氮,进一步限制其碳汇功能。因此,气态氮损失对全球变暖的响应对于理解气候变化背景下生态系统的反馈具有重要作用。由于量化土壤N2释放速率存在技术的困难,有关土壤气态氮损失温度敏感性方面还缺少研究,从而限制了陆地生态系统对全球变暖响应的模型模拟和预测。
针对上述问题,中国科学院沈阳应用生态研究所方运霆研究员团队与中国科学院地理科学与资源研究所张扬建团队等建立了15N标记量化土壤N2O和N2产生速率的技术,对中国18个森林土壤反硝化作用N2O和N2产生速率的温度敏感性进行了研究,探讨了主要驱动因素,并利用生态系统过程模型(DyN-LPJ)结合室内培养的温度敏感性结果模拟了未来变暖情形下全球森林土壤反硝化作用气态氮释放的响应。研究的18个森林站点从南到北相距4000 km,纬度相差33°(图1),覆盖了广泛的气候梯度(年均温相差25°C,年降水量相差2000 mm)。

图1本研究18个森林站点的地理位置分布
站点的颜色深浅表示其年均温的大小。该图基于自然资源部标准地图服务网站下载的审图号为GS(2020)4619号的标准地图制作,底图边界无修改。
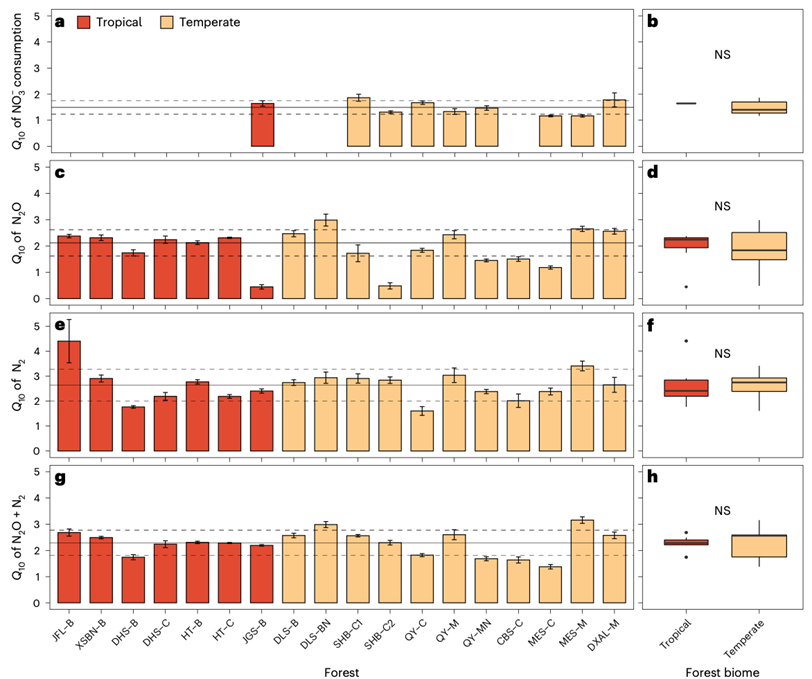
研究发现,中国不同气候带森林土壤的反硝化作用N2O和N2产生速率随着温度的升高呈指数增长并呈现一定的地理格局(图2)。然而,不同森林土壤之间N2O和N2释放的Q10值与土壤理化和微生物指标及气候因素无相关性,表明不同气候带下的森林土壤N2O和N2释放具有一致的温度敏感性,Q10值分别为2.1 ± 0.5和2.6 ± 0.6(图3)。该研究的陆地生态系统反硝化作用Q10值(1.4 ~ 3.2)与已报道的水生生态系统反硝化作用Q10值(1.6 ~ 3.5)非常相近(图4)。该研究表明不管是土壤还是海洋沉积物环境,反硝化作用的温度敏感性相对来说比较一致,有利于模型模拟和预测全球变暖情况下反硝化作用的响应。N2O是一种强效的温室气体。气候变暖将促进更多的N2O排放,更多N2O释放将进一步加剧变暖,对气候变化形成正反馈。该研究还发现,N2产生的温度敏感性高于N2O,表明气候变暖会使反硝化作用更加彻底,使土壤气态氮损失更多以N2的方式进行。

图2 18个森林土壤反硝化作用N2O、N2、N2O+N2产生速率对温度的响应

图3 18个森林土壤的反硝化N2O、N2和N2O+N2的释放速率和微生物硝酸盐消耗的温度敏感性

图4 陆地和水生生态系统反硝化作用温度敏感性随纬度的变化
目前,大多数森林仍然处于氮限制状态,气候变暖引起的气态氮损失和由此产生的氮限制很有可能进一步限制陆地生态系统的初级生产力及其碳汇功能。为进一步揭示全球尺度上气候变暖对森林土壤气态氮损失的影响,该研究将森林土壤反硝化作用N2O和N2释放的Q10值与生态系统过程模型DyN-LPJ结合,预测了在全球变暖和其他全球变化因子(比如氮沉降、降水、大气CO2)改变的背景下未来全球森林土壤反硝化作用气态氮的释放。模型的结果显示,在1991-2000年全球森林生态系统土壤反硝化作用N2O和N2的释放速率分别为3.8和81.9 Tg N yr-1,气态氮释放以氮气为主。在SSP2-4.5和SSP5-8.5情景下,2100年森林土壤反硝化作用N2O的释放速率分别升高至6.3和7.8 Tg N yr?1,N2的释放速率将分别为121.1和133.0 Tg N yr?1(图5)。

图5 DyN-LPJ模型模拟不同温室气体排放情景模式下2100年全球森林生态系统反硝化作用N2O和N2释放速率与2000年相比的年增量。
a-c和d-f图分别为SSP2-4.5和SSP5-8.5情景模式下的气态氮释放模拟结果。
综上所述,该研究在大陆尺度上量化了森林土壤反硝化作用产生的N2O和N2的温度敏感性,为模型模拟提供重要的数据参数,有助于加深对未来变暖背景下森林生态系统复杂的碳氮耦合过程及其对变暖反馈的理解。
这项研究成果以“Universal temperature sensitivity of denitrification nitrogen losses in forest soils”为题于2023年6月22日发表在Nature Climate Change上(IF2021=28.66)。中国科学院沈阳应用生态研究所于浩明博士生为第一作者,方运霆研究员和中国科学院地理科学与资源研究所张扬建研究员为共同通讯作者。合作者还有挪威生命科学大学Jan Mulder教授和Peter Do?rsch教授、美国纽约州立大学朱伟兴教授、中国科学院青藏高原研究所旭日研究员等。该研究受到国家重点研发计划(2016YFA0600802)和中国科学院卢嘉锡国际团队项目(GJTD-2018-07)等项目资助。
论文链接:https://www.nature.com/articles/s41558-023-01708-2
附件下载: