氮(N)是植物初级生产力和森林碳固存能力的关键限制性营养元素,全球变暖预测将通过气态途径加速森林生态系统N损失,从而降低N可利用性。森林土壤气态氮排放主要包括一氧化氮(NO)、氧化亚氮(N2O)和氮气(N2...2026-01-08
增强岩石风化(Enhanced Rock Weathering)是近年来提出的一种通过施用硅酸盐矿物粉末(如硅灰石)来捕获大气CO₂的重要途径。此外,硅酸盐矿物的添加还能通过改善土壤理化性质和微生物活性,促进土壤有机碳(SOC...2025-11-03
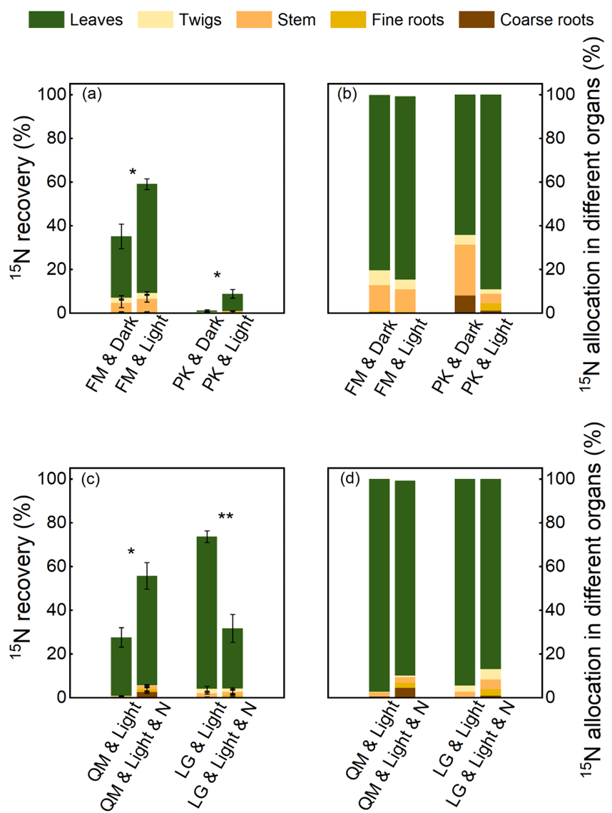
大气中的二氧化氮(NO2)以干沉降形式进入森林生态系统时,可被冠层叶片直接吸收。在氮限制的生态系统中,冠层对NO2的吸收可能会成为植物重要的氮来源之一,进而影响森林生态系统的氮循环以及碳固存。然而,目前...2025-09-19
土壤反硝化作用是陆地生态系统中活性氮流失的主要过程之一,不仅降低植物氮素利用效率,还促进温室气体氧化亚氮(N2O)排放,成为亟需调控的重要土壤氮循环过程。长期以来,研究者都认为植物根系分泌的代谢物作为...2025-07-11