水稻是全球一半以上人口的主食,是最重要的粮食作物之一。因此水稻的生产关系全球粮食安全。理论上,水稻田施用硅酸盐矿物粉末增强风化可提高水稻产量和品质,促进土壤固碳。针对水稻田施用硅酸盐矿物粉末的研究仅有三个盆栽试验,而在水稻田的实际增产和增汇效果还缺少野外大田尺度的研究。
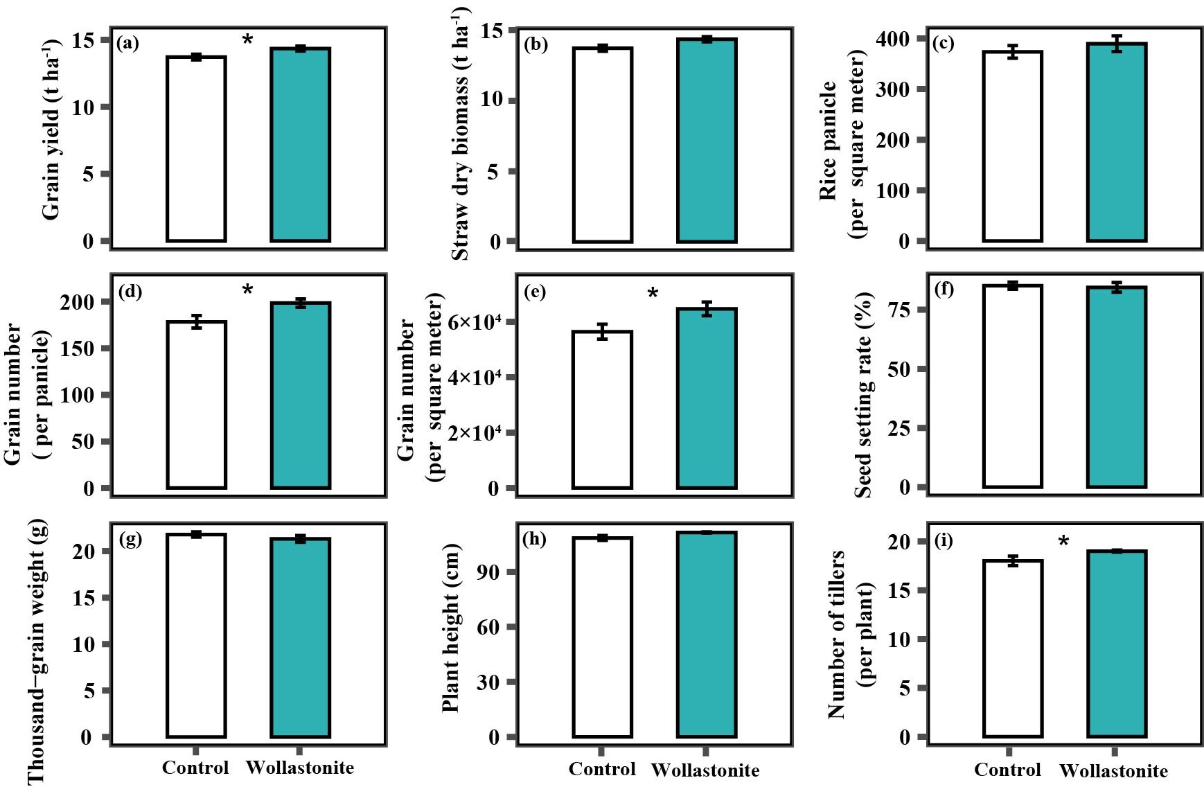
基于此,中国科学院沈阳应用生态研究所稳定同位素生态学团队依托沈阳农田生态系统观测站在水稻田开展了施用硅酸盐类矿物粉末控制试验,硅酸盐矿物选取安全无毒的硅灰石粉末。试验设置对照(0 t ha-1)和硅灰石粉添加(5 t ha-1)2个处理。研究目的是揭示硅灰石粉施用对水稻产量、品质和土壤二氧化碳(CO2)固持的影响。研究发现,水稻田施用硅灰石粉提高了土壤pH,显著提升土壤有效硅水平,促进了水稻吸收硅。硅灰石粉施用使水稻有效分蘖增加4%,每穗粒数增加10%,水稻实粒数增加15%,从而使水稻产量显著增加12%(图1)。水稻产量增加的同时,稻米品质未受影响。另外,硅灰石粉施用使表层土壤中无机碳积累增加,整个水稻生长过程风化吸收CO2量为1.2 t CO2 ha-1(图2)。因此,本研究通过大田试验研究表明我国北方水稻田硅灰石粉添加可使水稻产量增加,促进土壤封存CO2。
该研究成果以“Wollastonite powder application increases rice yield and CO2 sequestration in a paddy field in Northeast China”为题于2024年2月28日在线发表于Plant and Soil。沈阳生态所和东北大学联合培养硕士研究生王芳娜为第一作者,朱飞飞副研究员和东北大学李英华教授为共同通讯作者。我所方运霆研究员,陈欣研究员,康荣华研究员等参与了本研究。该研究得到中国科学院先导专项A类项目和辽宁省应用基础研究计划项目等的支持。
论文链接:https://link.springer.com/article/10.1007/s11104-024-06570-5

图1 硅灰石粉添加对水稻产量(a)和其他相关指标(b-i)的影响

图2所使用的硅灰石粉(a)、水稻收获时硅灰石处理(b)和对照(c)土壤样品的扫描电镜图像和整个水稻生长过程中表层土壤无机碳积累(d)和硅灰石粉风化带来的CO2固持(e)
附件: