研究生物多样性海拔梯度格局是了解生物多样性空间分布现状、揭示多样性维持和变化机制的重要途径。作为生物多样多样性的重要组成部分,叶际微生物(phyllosphere microbiome)参与宿主植物的病害抵御和养分吸收等诸多过程,对于植物的健康、分布和生态系统功能至关重要。目前相关研究主要关注植物、动物和土壤生物沿海拔梯度的变化规律,对于叶际微生物的研究相对缺乏。
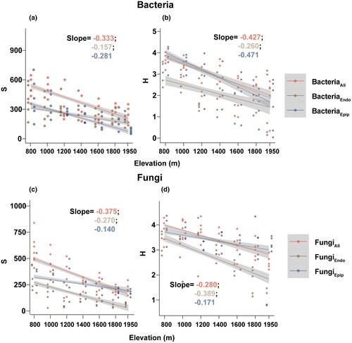
为此,中国科学院沈阳应用生态研究所天然林生态研究团队,选取我国长白山自然保护区7个海拔高度的优势树种叶片,通过高通量测序技术和生物信息学分析,研究了内生和附生真菌和细菌群落的多样性海拔梯度格局。结果发现,叶际微生物多样性格局随海拔升高而单调下降,与常见植物多样性驼峰状的海拔梯度格局不同。其中,附生细菌比内生细菌呈现更快的下降趋势,而附生真菌的下降趋势则比内生真菌慢。宿主植物(与资源吸收相关的)性状对叶际微生物海拔梯度格局的影响几乎与温度一致,尤其是年平均温度是附生微生物的关键驱动因子,宿主叶片性状对内生微生物的组成更加重要。本研究未发现细菌和真菌之间直接关联关系,支持了细菌和真菌群落之间的中性关联关系与海拔位置无关。
该研究成果以“Leaf traits and temperature shape the elevational patterns of phyllosphere microbiome”为题发表在生物地理学经典期刊Journal of Biogeography上。沈阳生态所天然林生态组已毕业硕士研究生王星为第一作者,西北工业大学原作强教授为通讯作者。该研究得到了中科院先导项目和国家自然科学基金的资助。
文章链接:https://onlinelibrary.wiley.com/doi/full/10.1111/jbi.14719

冠层叶际细菌和真菌沿长白山海拔梯度变化趋势




