农田过量施氮导致土壤质量恶化、水体污染、生物多样性丧失等环境问题,威胁着土壤生态系统的可持续发展。近年来,如何有效缓解氮肥过量施用对生物产生的负效应得到了广泛关注。土壤线虫食物网(nematode food web)在土壤有机质分解、养分循环和农田生态系统可持续发展中发挥着重要作用,可反映土壤生态系统的变化。 本研究旨在比较不同氮肥管理措施(氮肥减施和添加有机物料)对农田线虫食物网产生的生物学效应。实验设置4个处理,分别为常规施肥(N),氮肥减量100%(N0),氮肥减量50%(N1)以及常规施肥并配施有机物料(N+S)。研究结果表明:与N处理相比,N0、N1和N+S处理均增加了线虫和微生物磷脂脂肪酸(PLFAs)的丰度,且N+S处理的线虫生物量、多样性和代谢足迹(metabolic footprint)得到相对提升,加强了线虫食物网的养分周转。氮肥减施和添加有机物料两种管理措施分别通过非生物和生物途径缓解过量施肥对土壤线虫食物网产生的负效应,氮肥减施可以直接缓解施肥对土壤酸化的负面影响,有利于微生物和线虫的生长,而添加有机物料可以促进碳在线虫食物网中的流动和固定,最终提高土壤线虫食物网的稳定性。
相关研究成果以Exploring N fertilizer reduction and organic material addition practices: An examination of their alleviating effect on the nematode food web in cropland为题发表在Land Degradation and Development上。沈阳生态所寇新昌博士为第一作者,张晓珂研究员为论文通讯作者。
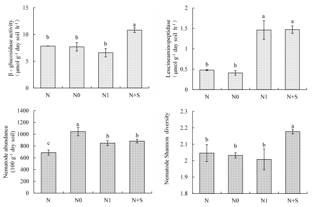
图1. 比较不同氮肥管理措施对土壤酶活性、线虫多度和线虫多样性的影响。

图2. 比较不同氮肥管理措施对土壤线虫代谢足迹的影响。纵坐标为富集代谢足迹,横坐标为结构代谢足迹。

图3. 不同氮肥管理措施下土壤微生物与线虫间的相关关系。实线和虚线分别代表显著和不显著的相关关系,红色箭头代表正相关,蓝色箭头代表负相关。G+,革兰氏阳性细菌生物量碳;G-,革兰氏阴性细菌生物量碳;Fungi,真菌生物量碳;BF,食细菌线虫生物量碳;FF,食真菌线虫生物量碳;PP,植物寄生线虫生物量碳;OP,捕食杂食线虫生物量碳。